| 产品编号 | 图片 | CAS No. | 名称及描述 | 规格 | 分子式 | 快速订购 |
|---|---|---|---|---|---|---|
| AI-0143 |
|
933047-52-0 |
1,3,6,8-四(4-羧基苯)芘 4,4',4'',4'''-(Pyrene-1,3,6,8-tetrayl)tetrabenzoic acid - - 98% |
10g | C44 H26 O8 | |
| AI-0297 |
|
1471339-65-7 |
2-(4-(1,2,2-三苯基乙烯基)苯氧基)乙酸 2-(4-(1,2,2-Triphenylvinyl)phenoxy)acetic acid - - 98% |
1g | C28 H22 O3 | |
| AI-0295 |
|
2444362-35-8 |
2',5'-diisobutoxy-[1,1':4',1''-terphenyl]-4,4''-dicarboxylic acid 2',5'-diisobutoxy-[1,1':4',1''-terphenyl]-4,4''-dicarboxylic acid - - 98% |
10g | C26 H26 O4 | |
| AI-0289 |
|
1397264-18-4 |
5'-(4-羧基-3-羟基苯基)-3,3''-二羟基-[1,1':3',1''-三联苯]-4,4''-二羧酸 4-[3,5-Bis(4-carboxy-3-hydroxyphenyl)phenyl]-2-hydroxybenzoic acid - - 98% |
1g | C27 H18 O9 | |
| AI-0283 |
|
115101-93-4 |
[1,1':4',1''-三联苯]-2',4,4'',5'-四羧酸 2,5-Bis(4-carboxyphenyl)terephthalic acid - - 98% |
1g | C22 H14 O8 | |
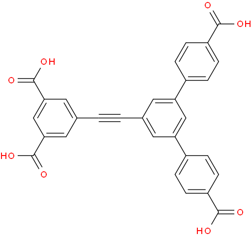
| AI-0266 |
|
1542480-30-7 |
5'-((3,5-dicarboxyphenyl)ethynyl)-[1,1':3',1''-terphenyl]-4,4''-dicarboxylic acid 5'-((3,5-dicarboxyphenyl)ethynyl)-[1,1':3',1''-terphenyl]-4,4''-dicarboxylic acid - - 98% |
0 | C30 H18 O8 | |
| AI-0265 |
|
2476800-63-0 |
INDEX NAME NOT YET ASSIGNED INDEX NAME NOT YET ASSIGNED - - 98% |
0 | C50 H30 O8 | |
| AI-0263 |
|
2588353-96-0 |
1,1'-Biphenyl]-3,5-dicarboxylicacid,3',5'-bis(6-carboxy-2-naphthalenyl)- 1,1'-Biphenyl]-3,5-dicarboxylicacid,3',5'-bis(6-carboxy-2-naphthalenyl)- - - 98% |
1g | C30 H18 O8 | |
| AI-0260 |
|
1660960-34-8 |
1-Naphthalenecarboxylic acid,4,4',4''-(1,3,5-benzenetriyl)tris- 1-Naphthalenecarboxylic acid,4,4',4''-(1,3,5-benzenetriyl)tris- - - 98% |
5g | C39 H24 O6 | |
| AI-0244 |
|
2590863-00-4 |
4',4'''-(2,2-二苯基乙烯-1,1-二基)双([1,1'-联苯]-4-羧酸) 4',4'''-(2,2-diphenylethene-1,1-diyl)bis([1,1'-biphenyl]-4-carboxylic acid) - - 98% |
1g | C40 H28 O4 | |
| AI-0238 |
|
957014-40-3 |
1,4-双(二羧基苯基乙炔基)苯 1,3-Benzenedicarboxylic acid, 5,5'-(1,4-phenylenedi-2,1-ethynediyl)bis- - - 98% |
10g | C26 H14 O8 | |
| AI-0215 |
|
2230912-22-6 |
5'-氨基-[1,1': 3',1'-三联苯]-4,4'-丙二酸 1,1':3',1''-Terphenyl]-4,4''-dicarboxylic acid, 5'-amino- - - 98% |
5g | C20 H15 N O4 | |
| AI-0211 |
|
1842393-50-3 |
H3BTB-NH2/Me H3BTB-NH2/Me - - 98% |
1g | C28 H21 N O6 | |
| AI-0210 |
|
1842393-49-0 |
H3BTB-OMe/Me H3BTB-OMe/Me - - 98% |
1g | C29 H22 O7 | |
| AI-0181 |
|
123524-53-8 |
[1,1'-联萘]-4,4'-二羧酸 [1,1'-Binaphthalene]-4,4'-dicarboxylic acid - - 98% |
10g | C22 H14 O4 | |
| AI-0166 |
|
2235382-00-8 |
5'-nitro-[1,1':3',1''-terphenyl]-3,3'',5,5''-tetracarboxylic acid 5'-nitro-[1,1':3',1''-terphenyl]-3,3'',5,5''-tetracarboxylic acid - - 98% |
10g | C22 H13 N O10 | |
| AI-0134 |
|
2127158-11-4 |
[1,1':3',1''-三联苯]-3,4'',5-三羧酸 [1,1':3',1''-terphenyl]-3,4'',5-tricarboxylic acid - - 98% |
5g | C21 H14 O6 | |
| AI-0262 |
|
1383916-83-3 |
6,6',6''-(苯-1,3,5-三基)三(2-萘甲酸) 1,3,5-Tri(6-hydroxycarbonylnaphthalen-2-yl)benzene - - 98% |
1g | C39 H24 O6 | |
| AI-0261 |
|
1907697-57-7 |
6,6',6''-(2,4,6-三甲基苯-1,3,5-三基)三(2-萘甲酸) ,6',6''-(2,4,6-Trimethylbenzene-1,3,5-triyl)tris(2-naphthoic acid) - - 98% |
1g | C42 H30 O6 | |
| AI-0259 |
|
957014-38-9 |
乙炔基联苯-3,3',5,5'-四羧酸 2G 5,5'-(Ethyne-1,2-diyl)diisophthalic acid - - 98% |
1g | C18 H10 O8 | |